1
/
of
35
BNSS AND CRPC (QUICK CHARTS) FOR JUDICIARY EXAM (ALL STATES) [Paperback] Aparna Bhat and Anuradha Bhat
BNSS AND CRPC (QUICK CHARTS) FOR JUDICIARY EXAM (ALL STATES) [Paperback] Aparna Bhat and Anuradha Bhat
Regular price
Rs. 850.00
Regular price
Sale price
Rs. 850.00
Shipping calculated at checkout.
Quantity
Couldn't load pickup availability
-
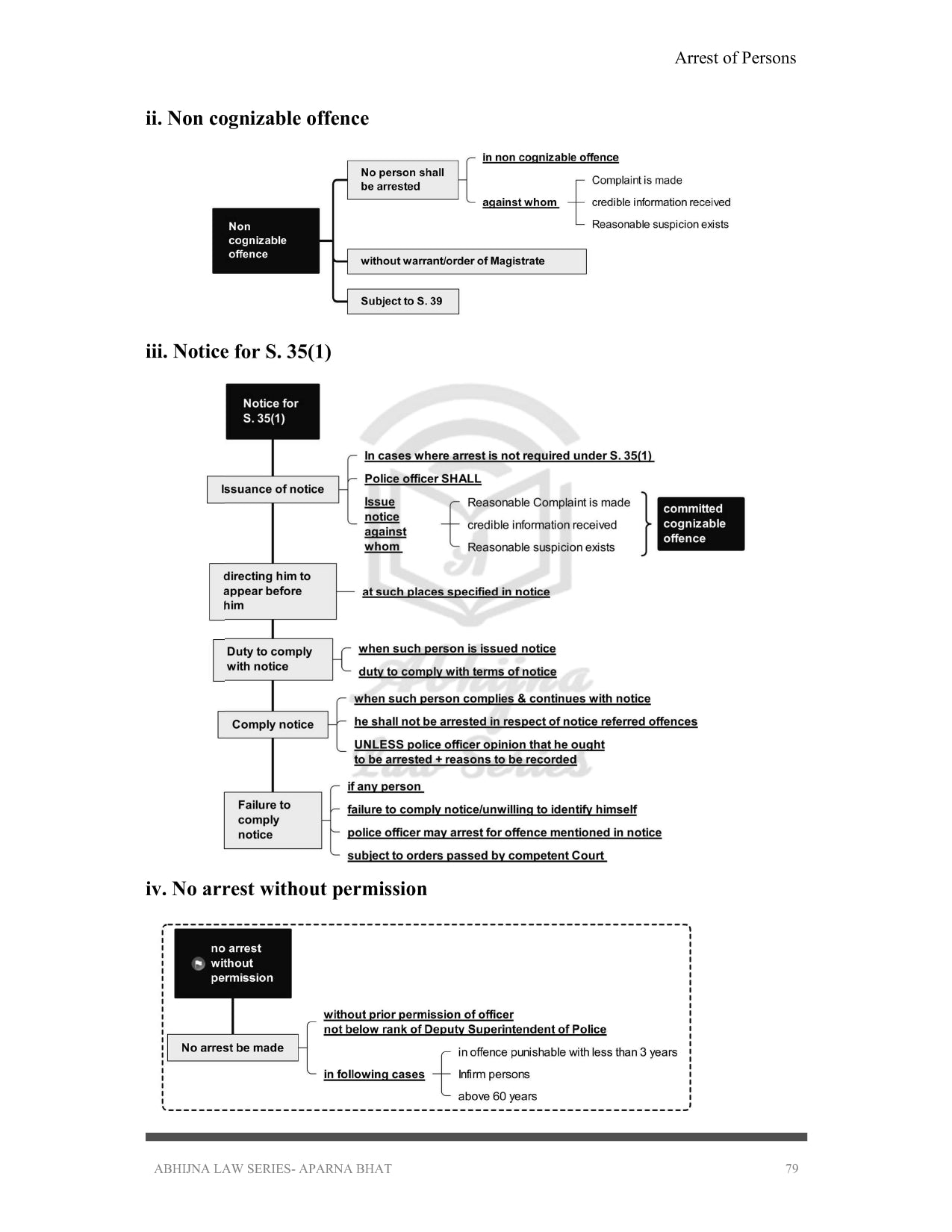
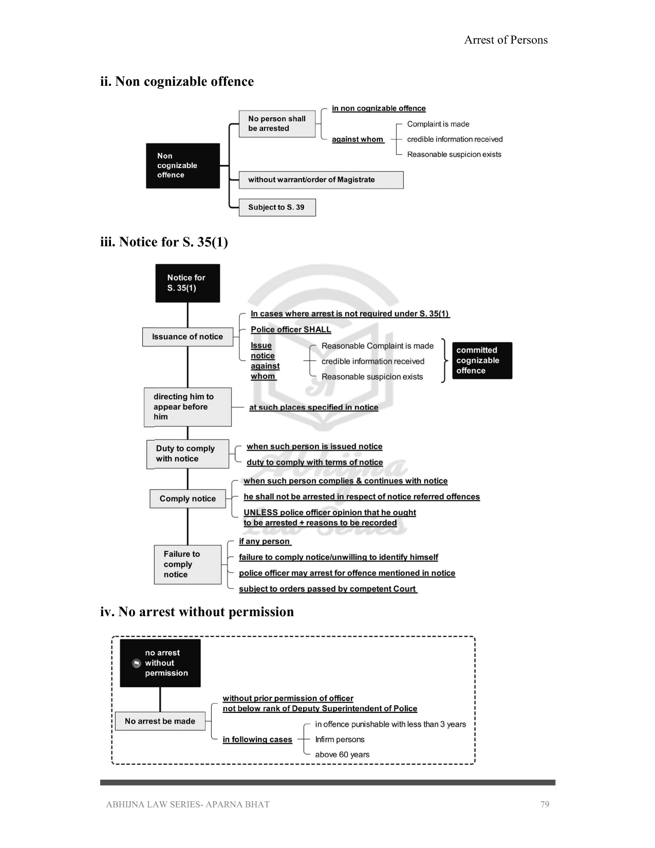
๐ Simplified Charts of Sections
-
๐ Comparative Sections of Old and New Law
-
๐ Changes Brought in BNSS (Topic-wise)
-
โฐ Timelimits / New Deadlines
-
โ๏ธ Sexual Offences References in BNSS
-
๐ฅ โAudio-Video Meansโ Reference in BNSS
-
๐ CrPC, 1973 Quick Notes
Share
![BNSS AND CRPC (QUICK CHARTS) FOR JUDICIARY EXAM (ALL STATES) [Paperback] Aparna Bhat and Anuradha Bhat](http://www.abhijnabooks.com/cdn/shop/files/SexualOffencerefernce_page-0001.jpg?v=1749194991&width=1445)